ZM 226600
ZM 226600 is an ATP-sensitive potassium channel opener with an EC50 value of 500 nM. ZM226600 has an inhibitory effect on spontaneous bladder activity.
| Catalog Number | T23563 |
| Research Area | Membrane transporter/Ion channel |
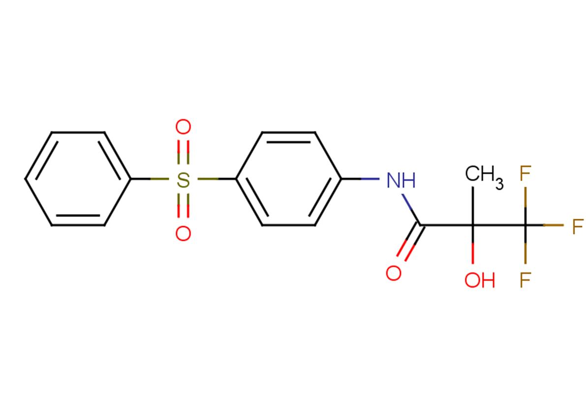
| Molecular Formula | C16H14F3NO4S |
| CAS# | 147695-92-9 |
| Purity | 100.00% |
| SMILES | O=C(NC1=CC=C(C=C1)S(=O)(=O)C=2C=CC=CC2)C(O)(C)C(F)(F)F |
| Size | 50 mg |
| Supplier Page | https://www.targetmol.com/compound/ZM 226600 |
| Additional Information | https://www.targetmol.com/datasheet/T23563 |
